卫星村
返回昆山市e阳光财务公开平台
搜索
卫星村
首页
了解
卫星村
卫星村概况
履职清单
任期目标
网格化管理服务
村盖章事项名录
办事指南
财务公开
招标信息
交易公告
成交信息
重要公示
卫星村村容村貌
卫星村概况
查看详情
卫 星 村 概 况 锦溪镇卫星村地处镇区四周,东临锦溪镇古镇区,西倚三联村,南连五保湖,北接陆泾。全村共有邵塔港、娄里、苗圃3个自然村及镇区部分区域,由原卫星、苗圃两村于1999年10月10日合并而成。村地域面积约1200亩。设有16个村民小组,总户数556户,1182个村民,553个劳动力。村党支部共有党员63名,现任村干部4名。 村级经济收入主 ...
履职清单
任期目标
网格化管理服务
村盖章事项名录
最新图片信息
卫星村股份经济合作社2026年3月财务公开:村级经济收入和支出预算及完成情况
卫星村股份经济合作社2026年3月财务公开:资产资源明细公布表
卫星村股份经济合作社2026年3月财务公开:单位往来
卫星村股份经济合作社2026年3月财务公开:村级资产负债表、村级收益分配表、村级收支明细表
卫星村2026年3月财务公开:农村集体资产资源租赁发包及上交情况(清缴欠租情况)
卫星村2026年3月财务公开:村级经济收入和支出预算及完成情况
卫星村2026年3月财务公开:村干部基本报酬
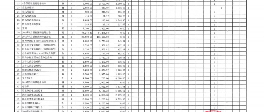
卫星村2026年3月财务公开:资产资源明细公布表
卫星村2026年3月财务公开:单位往来
卫星村2026年3月财务公开:村级资产负债表、村级收益分配表、村级收支明细表
财务类公开
更多
卫星村股份经济合作社2026年3月财务公开
2026-04-21
卫星村股份经济合作社2026年3月财务公开
2026-04-21
卫星村股份经济合作社2026年3月财务公开
2026-04-21
卫星村股份经济合作社2026年3月财务公开
2026-04-21
卫星村2026年3月财务公开:农村集体资产
2026-04-21
卫星村2026年3月财务公开:村级经济收入
2026-04-21
卫星村2026年3月财务公开:村干部基本报
2026-04-21
卫星村2026年3月财务公开:资产资源明细
2026-04-21
卫星村2026年3月财务公开:单位往来
2026-04-21
重要信息
更多
卫星村
村务公开二维码
扫描二维码手机端浏览
版权所有 © 昆山市e阳光财务公开平台
返回首页
苏ICP备17061219号