合丰社区
返回昆山市e阳光财务公开平台
搜索
合丰社区
首页
了解
合丰社区
合丰社区概况
履职清单
任期目标
网格化管理服务
村盖章事项名录
办事指南
财务公开
招标信息
交易公告
成交信息
重要公示
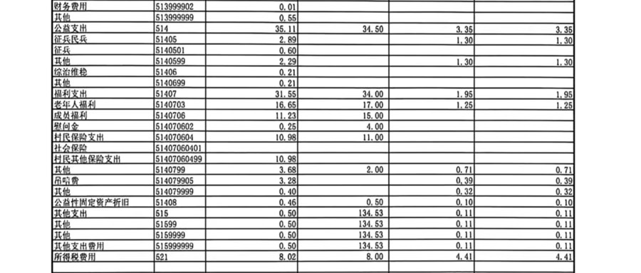
2026年合丰村集体经济组织财务公开
【时间:2026/4/22 13:25:22】【作者:】
2026年合丰村集体经济组织财务公开
返回财务类公开
关闭窗口
版权所有 © 昆山市e阳光财务公开平台
返回首页
苏ICP备17061219号