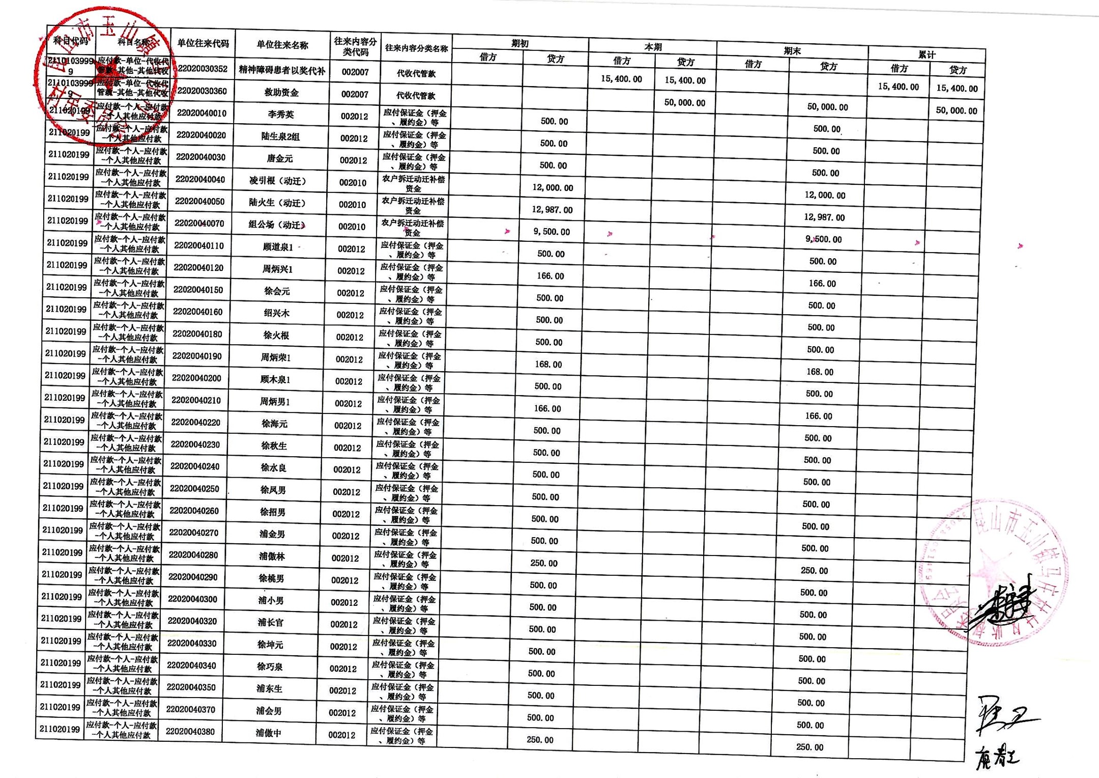
高新区马庄村村民委员会2025年12月财务公开及12月村干部基本报酬

【时间:2025/12/19 12:51:39】【作者:马庄村】

版权所有 © 昆山市e阳光财务公开平台 返回首页
苏ICP备17061219号