盛塘村
返回昆山市e阳光财务公开平台
搜索
盛塘村
首页
了解
盛塘村
盛塘村概况
履职清单
任期目标
网格化管理服务
村盖章事项名录
办事指南
财务公开
招标信息
交易公告
成交信息
重要公示
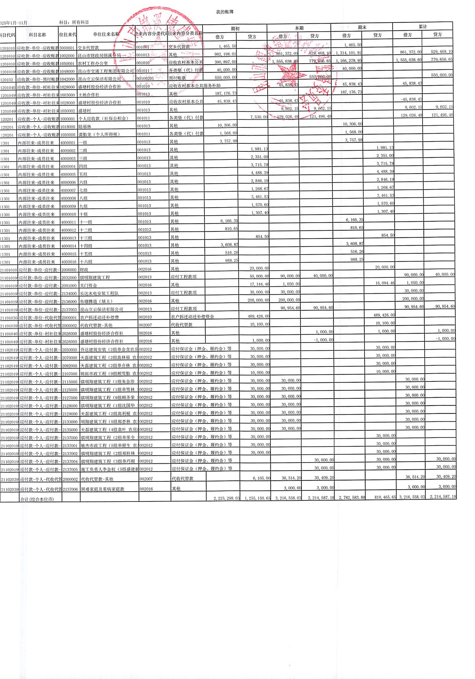
昆山市锦溪镇盛塘村2025年第四季度11月村财务公开资料
【时间:2025/12/15 12:57:33】【作者:】
昆山市锦溪镇盛塘村2025年第四季度11月村财务公开资料
返回财务类公开
关闭窗口
版权所有 © 昆山市e阳光财务公开平台
返回首页
苏ICP备17061219号