庙灯村
返回昆山市e阳光财务公开平台
搜索
庙灯村
首页
了解
庙灯村
庙灯村概况
履职清单
任期目标
网格化管理服务
村盖章事项名录
办事指南
财务公开
招标信息
交易公告
成交信息
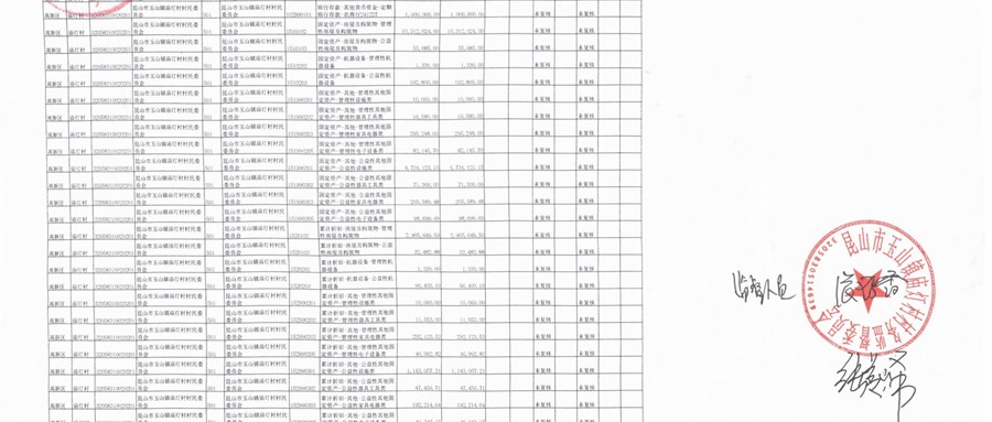
2025年昆山市玉山镇庙灯村村民委员会资产清查结果公示
【时间:2025/11/24 15:09:39】【作者:】
2025年昆山市玉山镇庙灯村村民委员会资产清查结果公示
返回财务类公开
关闭窗口
版权所有 © 昆山市e阳光财务公开平台
返回首页
苏ICP备17061219号