杜桥村
返回昆山市e阳光财务公开平台
搜索
杜桥村
首页
了解
杜桥村
杜桥村概况
履职清单
任期目标
网格化管理服务
村盖章事项名录
办事指南
财务公开
招标信息
交易公告
成交信息
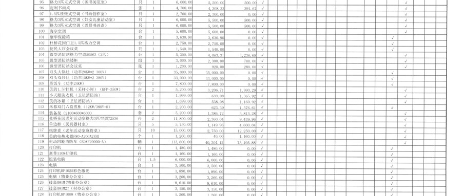
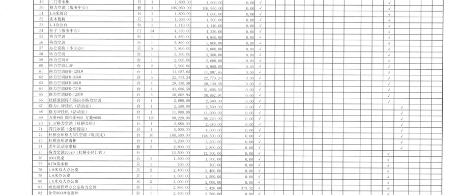
杜桥村村民委员会2025年11月份财务公开(2025年10月数据)
【时间:2025/11/19 14:38:51】【作者:】
杜桥村村民委员会2025年11月份财务公开(2025年10月数据)
返回财务类公开
关闭窗口
版权所有 © 昆山市e阳光财务公开平台
返回首页
苏ICP备17061219号