周泾
返回昆山市e阳光财务公开平台
搜索
周泾
首页
了解
周泾
周泾概况
履职清单
任期目标
网格化管理服务
村盖章事项名录
办事指南
财务公开
招标信息
交易公告
成交信息
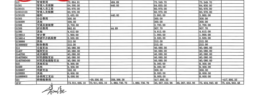
2024年周泾村股份经济合作社12月财务公示
【时间:2025/1/14 8:48:21】【作者:杨诗雨】
2024年周泾村股份经济合作社12月财务公示
返回财务类公开
关闭窗口
版权所有 © 昆山市e阳光财务公开平台
返回首页
苏ICP备17061219号