马庄村
返回昆山市e阳光财务公开平台
搜索
马庄村
首页
了解
马庄村
马庄村概况
履职清单
任期目标
网格化管理服务
村盖章事项名录
办事指南
财务公开
招标信息
交易公告
成交信息
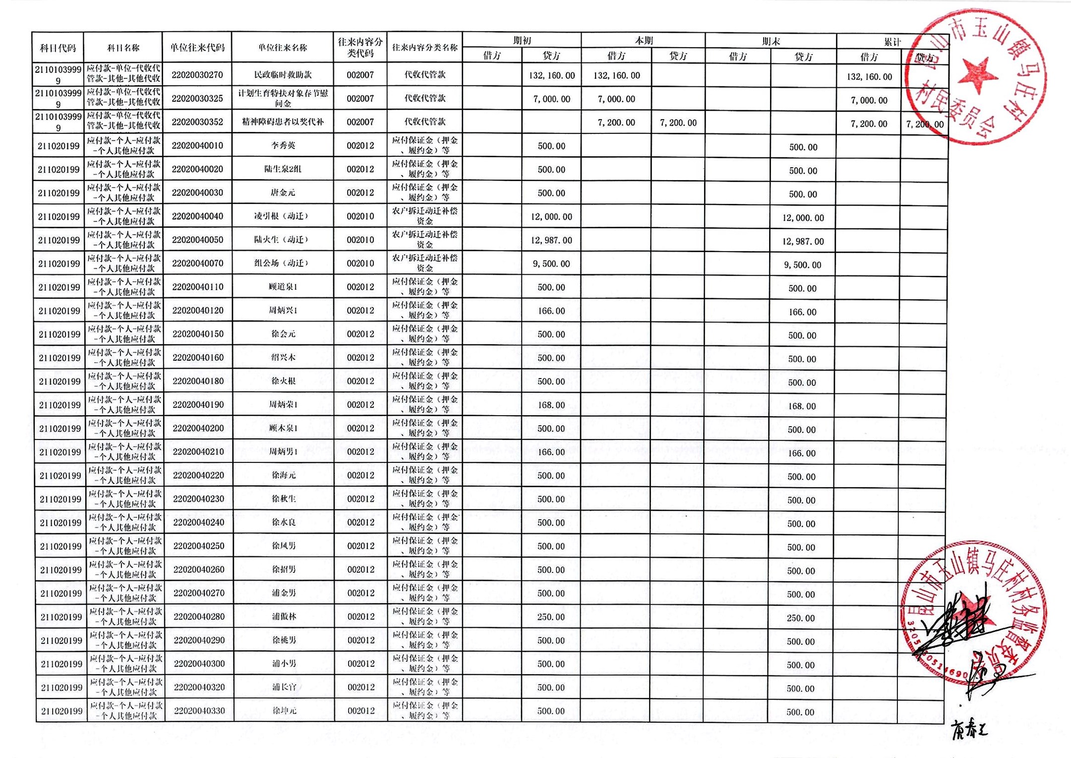
高新区马庄村村民委员会2025年5月财务公开
【时间:2025/5/16 15:26:41】【作者:马庄村】
返回财务类公开
关闭窗口
版权所有 © 昆山市e阳光财务公开平台
返回首页
苏ICP备17061219号