安头村
返回昆山市e阳光财务公开平台
搜索
安头村
首页
了解
安头村
安头村概况
履职清单
任期目标
网格化管理服务
村盖章事项名录
办事指南
财务公开
招标信息
交易公告
成交信息
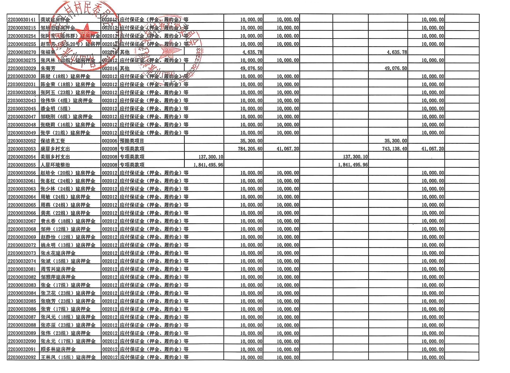
安头村2025年1月财务公开
【时间:2025/2/27 14:05:08】【作者:】
安头村2025年1月财务公开
返回财务类公开
关闭窗口
版权所有 © 昆山市e阳光财务公开平台
返回首页
苏ICP备17061219号