平庄村
返回昆山市e阳光财务公开平台
搜索
平庄村
首页
了解
平庄村
平庄村概况
履职清单
任期目标
网格化管理服务
村盖章事项名录
办事指南
财务公开
招标信息
交易公告
成交信息
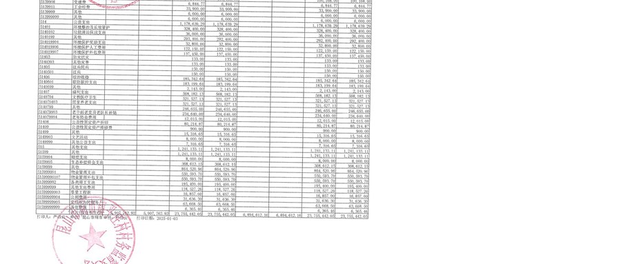
2024年第四季度(12月)平庄村村委会财务公开(定期公开)
【时间:2025/2/26 9:11:16】【作者:胡益强】
2024年第四季度(12月)平庄村村委会财务报表
返回财务类公开
关闭窗口
版权所有 © 昆山市e阳光财务公开平台
返回首页
苏ICP备17061219号