胜利社区
返回昆山市e阳光财务公开平台
搜索
胜利社区
首页
了解
胜利社区
胜利社区概况
履职清单
任期目标
网格化管理服务
村盖章事项名录
办事指南
财务公开
招标信息
交易公告
成交信息
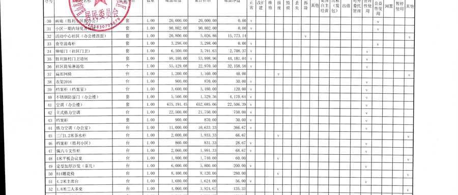
202410财务报表-居委会(含公告栏照片)
【时间:2024/11/22 13:43:04】【作者:】
202410财务报表-居委会(含公告栏照片)
返回财务类公开
关闭窗口
版权所有 © 昆山市e阳光财务公开平台
返回首页
苏ICP备17061219号