干家甸社区
返回昆山市e阳光财务公开平台
搜索
干家甸社区
首页
了解
干家甸社区
干家甸社区概况
履职清单
任期目标
网格化管理服务
村盖章事项名录
办事指南
财务公开
招标信息
交易公告
成交信息
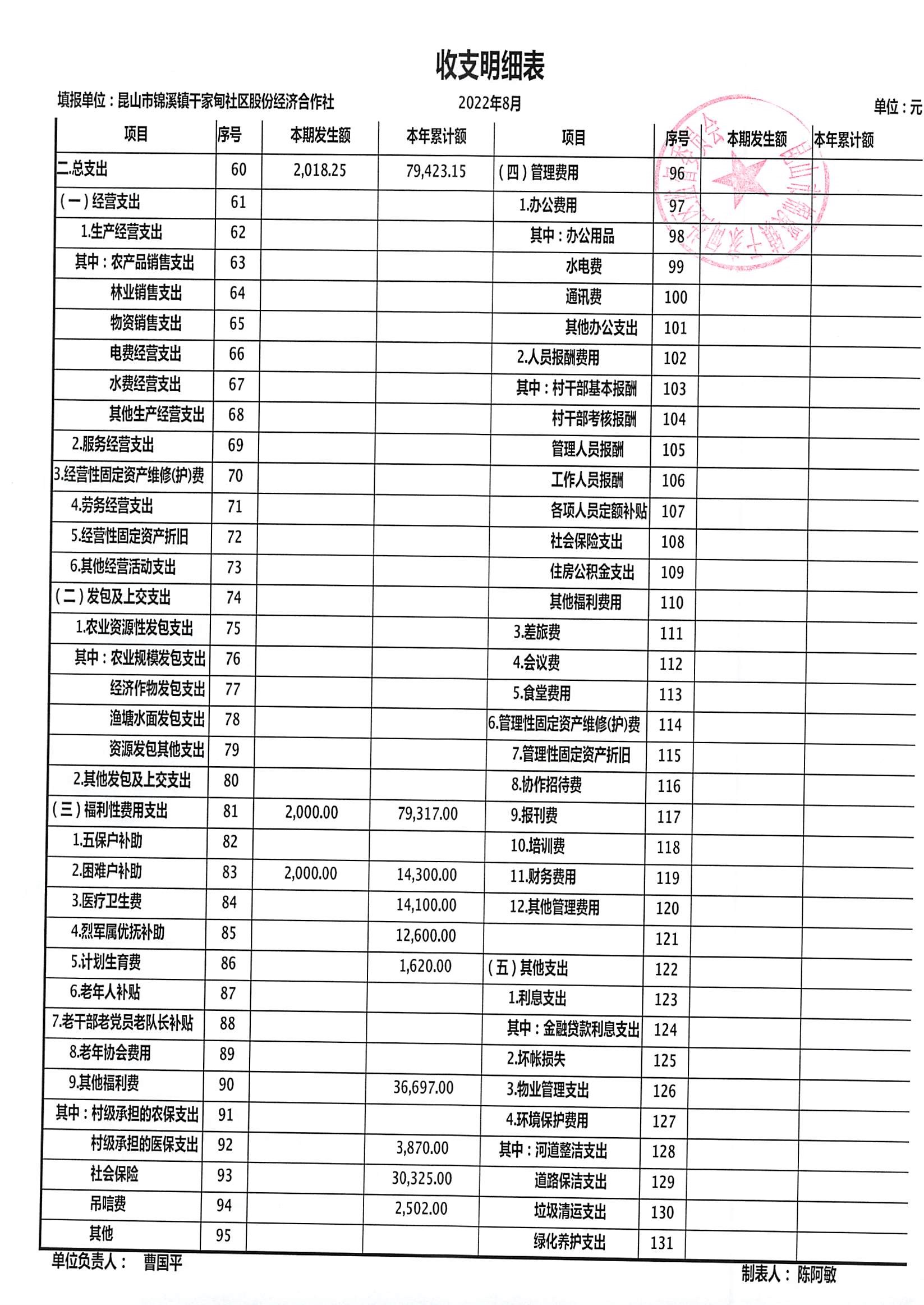
2022年三季度财务公开(合作社)-收支明细表
【时间:2022/9/28 15:50:21】【作者:】
返回财务类公开
关闭窗口
版权所有 © 昆山市e阳光财务公开平台
返回首页
苏ICP备17061219号